A colaboração entre o Instituto Nacional da Propriedade Industrial do Brasil (INPI-BR) e a Organização Mundial da Propriedade Intelectual (OMPI) foi oficializada por meio da assinatura do Memorando de Entendimento (ME), em 12 de setembro de 2012. De acordo com o ME, o INPI-BR e o Centro de Arbitragem e Mediação da OMPI estabelecem um procedimento conjunto de resolução de disputas, cujo objetivo é facilitar a mediação de controvérsias relativas a direitos da propriedade intelectual perante o INPI-BR. A partir de 15 de julho de 2013, a opção de mediação é oferecida aos procedimentos de oposição de pedido de registro marcário, recursos e processos administrativos de nulidade de registro marcário perante o INPI-BR.
Procedimentos em curso perante o INPI-BR
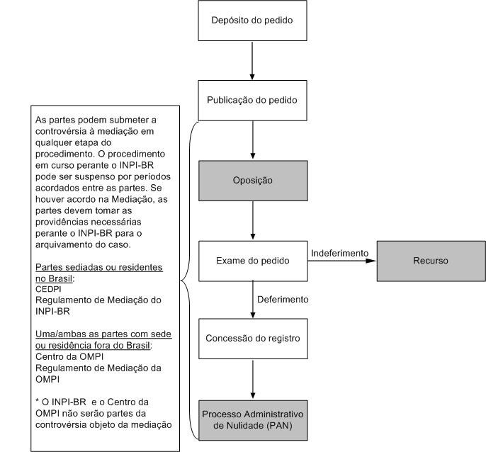
Controvérsias nesta área abrangem procedimentos de oposição de pedido de registro marcário, recursos e processos administrativos de nulidade de registro marcário em curso perante o INPI-BR. O INPI-BR oferece às partes a opção de mediação para resolver a controvérsia via mediação, de acordo com o Regulamento de Mediação da OMPI. [Versão em português] [Versão em inglês]
A opção de Mediação OMPI oferecida pelo INPI-BR pode representar especial vantagem para partes estrangeiras que busquem solucionar controvérsias conexas em múltiplas jurisdições.
A opção de Mediação OMPI está disponível durante todo o curso dos procedimentos perante o INPI-BR. Informações adicionais sobre os processos perante o INPI-BR estão disponíveis aqui.
- Para controvérsias que envolvem uma parte/ambas as partes com sede ou residência fora do Brasil, o Pedido de Mediação de Marcas deve ser transmitido ao Centro de Arbitragem e Mediação da OMPI (Centro da OMPI) e ao Centro de Defesa da Propriedade Intelectual do INPI-BR (CEDPI). O Compromisso e Requerimento de Mediação OMPI perante o INPI-BR deve ser transmitido ao Centro da OMPI, em conformidade com o Regulamento de Mediação da OMPI. [Versão em português] [Versão em inglês]
- Para controvérsias que envolvem ambas as partes sediadas ou residentes no Brasil, o Pedido de Mediação de Marcas e o Termo de Compromisso de Mediação CEDPI perante o INPI-BR devem ser transmitidos ao Centro de Defesa da Propriedade Intelectual do INPI-BR (CEDPI), em conformidade com o Regulamento de Mediação do INPI-BR.
Consulta Técnica Preliminar: em virtude da colaboração entre o INPI-BR e a OMPI, as partes envolvidas em mediações OMPI podem utilizar a consulta técnica preliminar opcional oferecida pelo INPI-BR.
A opção de Mediação perante o INPI-BR

Áreas da Mediação
- Oposição de pedido de registro marcário
- Recurso
- Processo administrativo de nulidade de registro marcário
Partes na Mediação
- Depositante de pedido de registro marcário perante o INPI-BR
- Requerente da oposição de pedido de registro marcário perante o INPI-BR
- Recorrente de pedido de registro marcário perante o INPI-BR
- Requerente do processo administrativo de nulidade de registro marcário perante o INPI-BR
Serviços de resolução de disputas da OMPI para controvérsias perante o INPI-BR
- Administração de controvérsias em curso perante o INPI-BR
A Mediação OMPI inicia com a transmissão do Compromisso e Requerimento de Mediação OMPI para controvérsias relativas a direitos da propriedade intelectual perante o INPI-BR, na hipótese de uma ou ambas as partes com sede ou residência fora do Brasil, devidamente preenchido e assinado por ambas as partes. [Versão em português] [Versão em inglês]
A Mediação CEDPI inicia com a transmissão do Termo de Compromisso de Mediação CEDPI para controvérsias relativas a direitos da propriedade intelectual perante o INPI-BR, na hipótese de ambas as partes com sede ou residência no Brasil, devidamente preenchido e assinado por ambas as partes.
O Centro da OMPI efetuará contato com as partes para orientá-las quanto ao procedimento de mediação, custas e nomeação do mediador. Faculta-se às partes a opção de identificar um candidato que lhes convenha para a nomeação. O Centro da OMPI está à disposição para prestar assistência através do fornecimento de uma lista de candidatos.
No desempenho de sua função de administrador da disputa, o Centro da OMPI atua sob os corolários da neutralidade e independência.
Procedimentos eficientes, em grande medida, dependem da qualidade do mediador. O Centro da OMPI mantém uma lista aberta, incluindo mediadores brasileiros com conhecimentos em direitos da propriedade intelectual, tais como marcas, patentes e desenhos industriais. Estes podem ser nomeados em mediações OMPI por partes envolvidas em controvérsias perante o INPI-BR, mas as partes estão livres para selecionar mediadores, árbitros ou especialistas não pertencentes aos quadros do Centro da OMPI.
- Guia do Procedimento e Treinamento
Uma vez que a mediação está condicionada ao consentimento de ambas as partes, e no intuito de catalisá-lo, as partes podem valer-se do Compromisso e Requerimento de Mediação OMPI perante o INPI-BR para que a disputa seja administrada pelo Centro da OMPI [Versão em português][Versão em inglês]. No Compromisso e Requerimento de Mediação, as partes podem adaptar o procedimento de mediação de acordo com suas necessidades, estabelecendo, por exemplo, a abrangência da disputa, o tempo destinado para a mediação e o idioma a ser utilizado durante a mediação (tais assuntos podem igualmente ser acordados após a nomeação do mediador).
O Centro da OMPI organiza treinamentos e workshops sobre mediação, arbitragem e tópicos correlatos. Em particular, a colaboração entre INPI-BR e OMPI inclui treinamento especializado em mediação e arbitragem no âmbito de disputas de direitos da propriedade intelectual, no intento de desenvolver o conhecimento em métodos privados de resolução de controvérsias no Brasil e região.
Custas e Honorários
O Centro da OMPI oferece uma Tabela de Custas e Honorários [Versão em português] [Versão em inglês] sem fins lucrativos.
A assistência do Centro da OMPI prestada às partes na negociação de valores a título de honorários do mediador, somada à habilidade das partes de concluir a mediação, contribuem para limitar o custo deste procedimento informal.
Eventos Realizados
- Workshop “Mediação perante o INPI e Lançamento do Centro de Mediação do INPI“, organizado em colaboração com o Instituto Nacional da Propriedade Industrial do Brasil (INPI) e Centro de Defesa da Propriedade Intelectual (CEDPI), Rio de Janeiro, 12 e 13 de março de 2013.
- Workshop “O recurso à Mediação em matéria de marcas: aspectos práticos“, organizado em colaboração com o Instituto Nacional da Propriedade Industrial do Brasil (INPI) e Centro de Defesa da Propriedade Intelectual (CEDPI), Rio de Janeiro, 27 e 28 de novembro de 2012.
- Workshop “O recurso à Mediação no procedimento de oposição de marcas perante o INPI“, organizado em colaboração com o Instituto Nacional da Propriedade Industrial do Brasil (INPI) e Centro de Defesa da Propriedade Intelectual (CEDPI), Rio de Janeiro, 24 a 26 de julho de 2012.
Contato
| Arbitration and Mediation Center Geneva |
|---|
| 34, chemin des Colombettes P.O. Box 18 1211 Geneva 20 Switzerland T +4122 338 8247 or 0800 888 549 F +4122 740 3700 or 0800 888 550 |
Informações: arbiter.mail@wipo.int
www.wipo.int/amc/