The Complainant is Snapchat, Inc. of Venice, California, United States of America ("United States"), represented by Kilpatrick Townsend & Stockton LLP, United States.
The Respondent is Lirong Shi / www.juming.com of Changing, Hunan, China.
The disputed domain name <snapchatblog.com> is registered with Vo Nguyen Giap, LLC (the "Registrar").
The Complaint was filed with the WIPO Arbitration and Mediation Center (the "Center") on February 12, 2016. On February 12, 2016, the Center transmitted by email to the Registrar a request for registrar verification in connection with the disputed domain name. On February 13, 2016, the Registrar transmitted by email to the Center its verification response confirming that the Respondent is listed as the registrant and providing the contact details.
The Center verified that the Complaint satisfied the formal requirements of the Uniform Domain Name Dispute Resolution Policy (the "Policy" or "UDRP"), the Rules for Uniform Domain Name Dispute Resolution Policy (the "Rules"), and the WIPO Supplemental Rules for Uniform Domain Name Dispute Resolution Policy (the "Supplemental Rules").
In accordance with the Rules, paragraphs 2 and 4, the Center formally notified the Respondent of the Complaint, and the proceedings commenced on February 29, 2016. In accordance with the Rules, paragraph 5, the due date for Response was March 20, 2016. The Respondent did not submit any response. Accordingly, the Center notified the Respondent's default on March 21, 2016.
The Center appointed Alfred Meijboom as the sole panelist in this matter on March 31, 2016. The Panel finds that it was properly constituted. The Panel has submitted the Statement of Acceptance and Declaration of Impartiality and Independence, as required by the Center to ensure compliance with the Rules, paragraph 7.
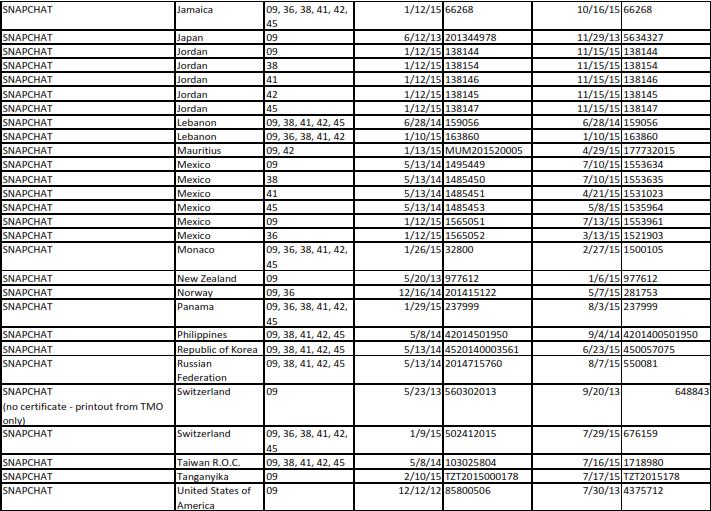
The Complainant launched in 2011 and designs and distributes a messaging smart phone application that, among other things, allows users to share photographs, videos, and messages with others via mobile devices. The application is reportedly amongst the popular apps available on Apple iTunes AppStore. The Complainant is the owner of the following registered trademark for the term SNAPCHAT:


(together the "Trademark").
The Respondent registered the disputed domain name on October 20, 2015. The disputed domain name resolves to a website with a Chinese name called "Jing Ying Bo," which translates to "Elite Gambling" in English. The information provided by this website includes casino and gaming platform rankings, searching and reviews, promotional material related to gaming and gambling services, news related to the gambling and lottery industries, gambling skills and tricks, a customer/player platform for asking questions and submitting complaints, and game demos. On the index page and each sub-page of the website, there are numerous advertisements for various gambling platforms and gaming websites and companies. When a user clicks on the advertisements, they are redirected to the official website of the gambling platform or gaming company.
The disputed domain name is confusingly similar to the Trademarks as it comprises the Trademark and only adds the generic term "blog", which does not distinguish the disputed domain name from the Trademark. Given the Respondent's prominent use of the Trademark in the disputed domain name, the Complainant asserts that it is clear that the Respondent is engaged in a concerted effort to divert users who are seeking to use the Snapchat app to his own website. The Trademark and the non-distinguishing addition of the generic or descriptive term "blog" will cause users encountering the disputed domain name to mistakenly believe that the disputed domain name originates from, is associated with, or is sponsored by the Complainant. As such, the disputed domain name is confusingly similar to the Trademark.
The Complainant further argues that the Respondent has no rights or legitimate interests in respect of the disputed domain name. The Respondent does not use the disputed domain name for bona fide offering of goods and services, but rather uses the disputed domain name to deceive visitors into thinking they will be taken to a website containing information about the services of the Complainant, when in reality the website they are taken to contains only information and links to online gaming and gambling services. The Complaint also claims that there is no relationship between the Complainant and the Respondent giving rise to any license, permission, or other right by which the Respondent could own or use any domain name incorporating the Trademark. Further, nothing in the Respondent's "WhoIs" information demonstrates that the Respondent is commonly known by the disputed domain name.
According to the Complainant, the Respondent registered and used the disputed domain name in bad faith. The Respondent undoubtedly registered the disputed domain name in bad faith with actual knowledge of the Complainant's rights in the Trademark mark because the Trademark is internationally recognized and is registered in the United States, Europe, China and elsewhere throughout the world. The Respondent's bad faith use of the disputed domain name is further evidenced by the fact that the Respondent is using the disputed domain name to divert Internet traffic for its financial gain. Given the commercial purpose of the resolving websites, there can be no doubt that the Respondent's use of the disputed domain name is in bad faith. Moreover, the Respondent has demonstrated a pattern of bad faith use and registration. The Respondent was found to have registered the domain names <petrobrasaustralia.com> and <mm887.com> in bad faith in prior actions pursuant to Petróleo Brasileiro S.A. - Petrobras v. Lirong Shi, WIPO Case No. D2013-2077, and Provent Holdings Ltd. and Harmony Park International Inc. v. www.juming.com, lirong shi and Hu Weisheng, WIPO Case No. D2015-1302, respectively.
The Respondent did not reply to the Complainant's contentions.
The Respondent did not reply to the Complainant's contentions. However, as set out in paragraph 4.6 of the WIPO Overview of WIPO Panel Views on Selected UDRP Questions, Second Edition, ("WIPO Overview 2.0"), the consensus view of UDRP panels is that the Respondent's default does not automatically result in a decision in favor of the Complainant. The Complainant must still establish each of the three elements required by paragraph 4(a) of the Policy. Although the Panel may draw appropriate inferences from a respondent's default, paragraph 4 of the Policy requires the Complainant to support its assertions with actual evidence in order to succeed in these proceedings. Paragraph 14(b) of the Rules provides that, in the absence of exceptional circumstances, the Panel shall draw such inferences as it considers appropriate from a failure of a party to comply with a provision or requirement of the Rules. The Panel finds that in this case there are no such exceptional circumstances.
Under the Policy, the Complainant must prove that:
(i) the disputed domain name is identical or confusingly similar to a trademark or service mark in which the Complainant has rights;
(ii) the Respondent has no rights or legitimate interests in respect of the disputed domain name; and
(iii) the disputed domain name has been registered and is being used in bad faith.
It is well established that the generic Top-Level Domains ("gTLDs"), such as ".com", may typically be disregarded in the assessment under paragraph 4(a)(i) of the Policy (e.g., Telstra Corporation Limited v. Nuclear Marshmallows, WIPO Case No. D2000-0003).
The Panel finds that the disputed domain name is confusingly similar to the Trademark. The Respondent has taken the Trademark in its entirety and merely added the descriptive word "blog". The added word is insufficient to differentiate the disputed domain name and the Trademark, and may even encourage – and therefore confuse – Internet users to believe that the website under the disputed domain name provides information on the Complainant's popular application.
Consequently, the first element of paragraph 4(a) of the Policy is met.
The Complainant must show a prima facie case that the Respondent lacks rights or legitimate interests in the disputed domain name, which the Respondent may rebut (e.g., Croatia Airlines d.d. v. Modern Empire Internet Ltd., WIPO Case No. D2003-0455).
The Panel takes note of the various allegations of the Complaint and in particular that no authorization has been given by the Complainant to the Respondent to use or register the disputed domain name, the Respondent has not been commonly known by the disputed domain name, the Respondent has no prior rights or legitimate interests in the disputed domain name, and the disputed domain name resolves to commercial websites which provide only information and links to online gaming and gambling services. As the Respondent is using the disputed domain name for its own commercial gain there is no bona fide offering of goods and services by the Respondent.
The allegations of the Complainant remain unchallenged. There is no evidence before the Panel to show that the Respondent has rights or legitimate interests in the disputed domain name.
The Panel finds that the Complainant has satisfied the requirements of paragraph 4(a)(ii) of the Policy.
Pursuant to paragraph 4(b)(iv) of the Policy, there is evidence of registration and use of the disputed domain name in bad faith where the Respondent has intentionally attempted to attract, for commercial gain, Internet users to its website by creating a likelihood of confusion with the Complainant's trademarks as to the source, sponsorship, affiliation, or endorsement of the Respondent's website or location or of a product or service offered on the Respondent's website or location.
In the Panel's view, it is obvious that at the time the Respondent registered the disputed domain name he must have had the Trademark in mind as it had already been registered and used for several years worldwide and acquired a reputation amongst millions of especially teenaged Internet users. The Panel is therefore satisfied that the Respondent registered the disputed domain name in bad faith.
The Panel is further satisfied that the use which the Respondent makes of the disputed domain name to attract Internet users for the Respondent's commercial gain constitutes use of the disputed domain name in bad faith. As this is the third domain name case under the Policy where the Respondent was found to have used the disputed domain name in bad faith1, and in none of these cases the Respondent filed a response, the Panel finds that the Respondent also demonstrated a pattern of conduct of preventing a trademark holder from reflecting the mark in a corresponding domain name as forbidden by paragraph 4(b)(ii) of the Policy.
Consequently, the third and last element of paragraph 4(a) of the Policy is also met.
For the foregoing reasons, in accordance with paragraphs 4(i) of the Policy and 15 of the Rules, the Panel orders that the disputed domain name <snapchatblog.com> be transferred to the Complainant.
Alfred Meijboom
Sole Panelist
Date: April 11, 2016
1 The two other cases were mentioned in paragraph 5.A above.